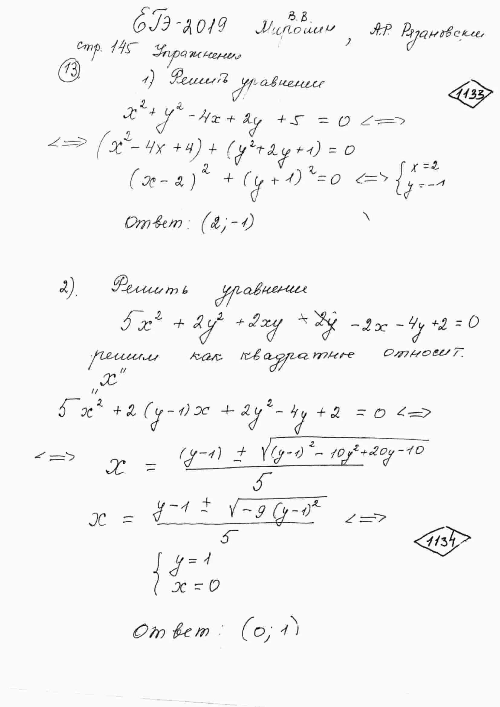
Решить систему 2x y 1