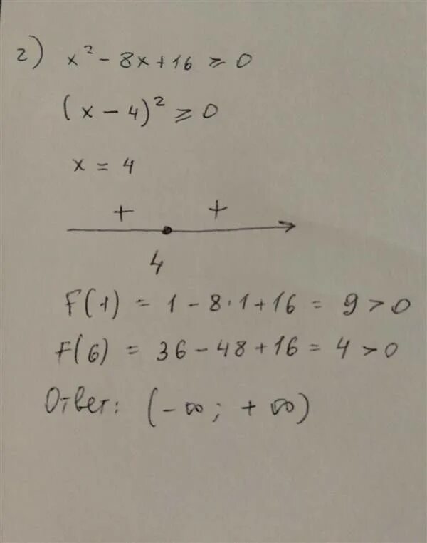
Решить неравенство 2x2 2x 2