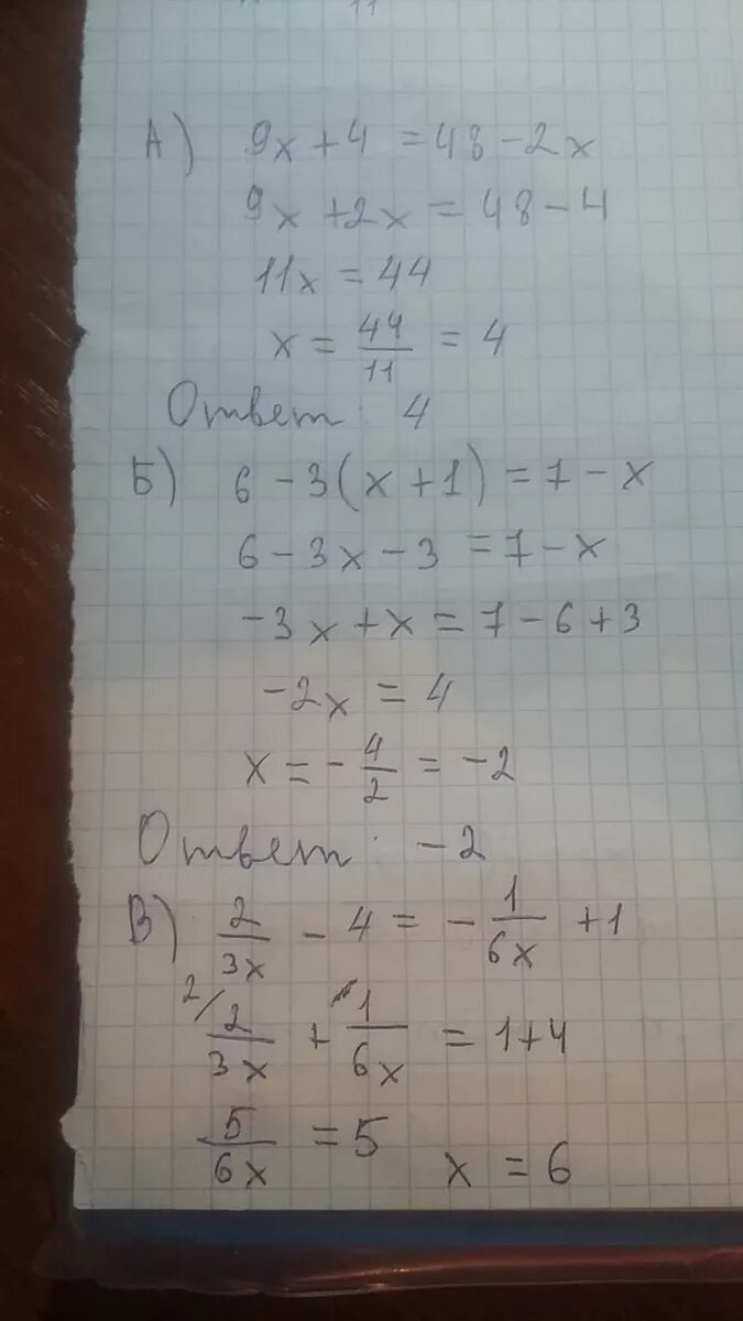
Решить 48 48 6