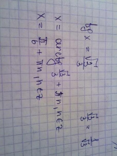
Решение уравнения tg x 3 3