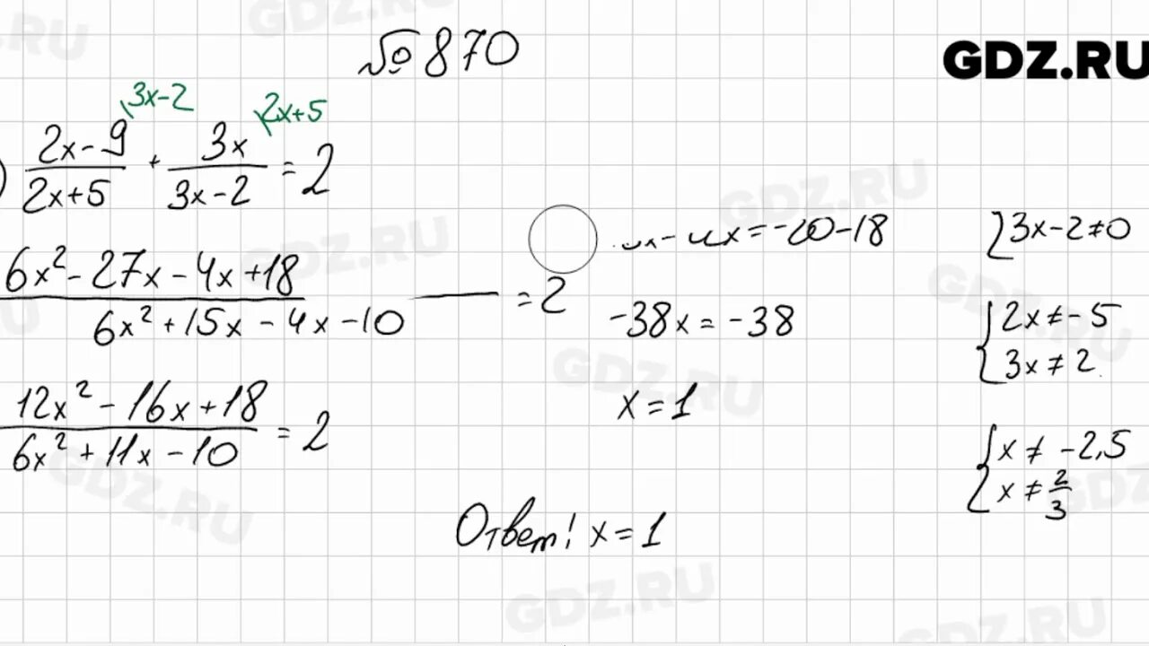
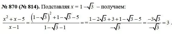
Решение 870