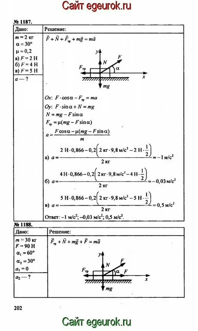
Решебник физика 9 класс перышкин задачи