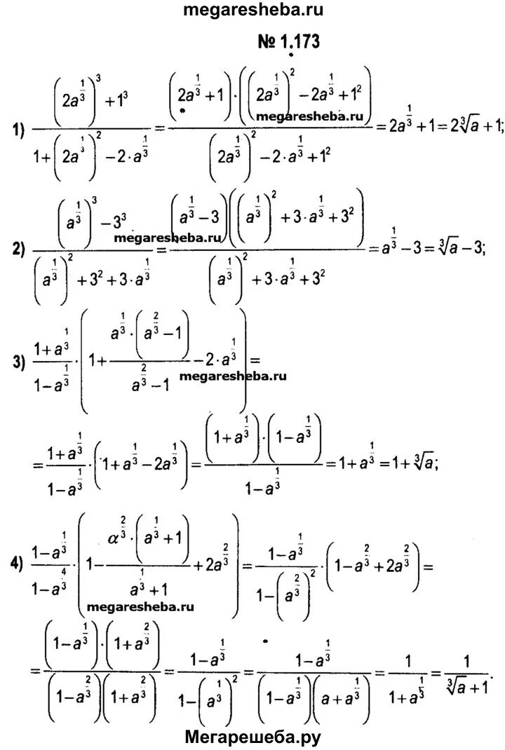
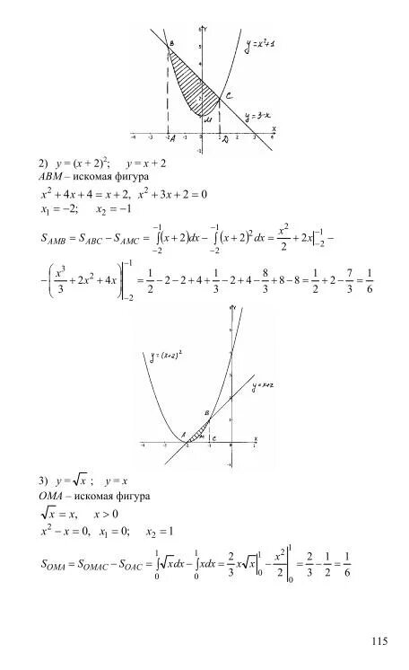
Решеба по алгебре 11 класс