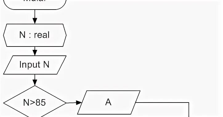
Real input