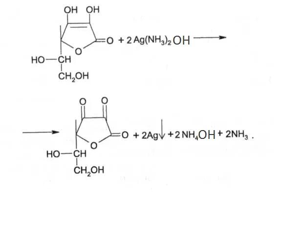
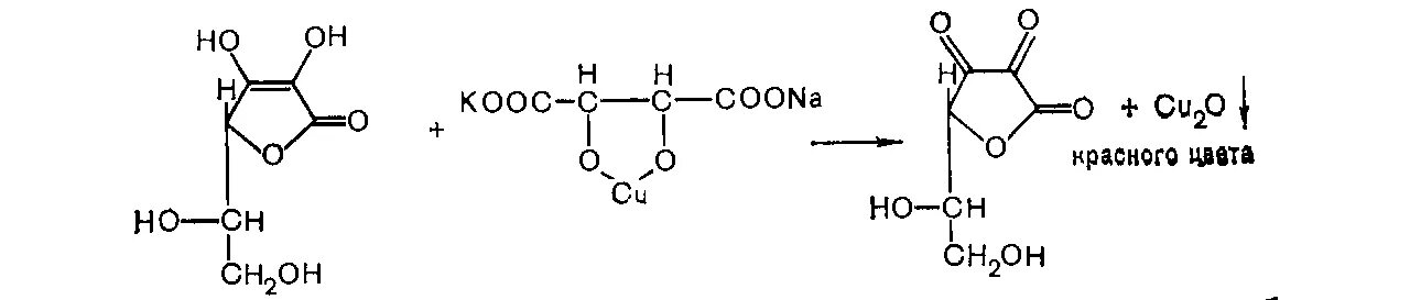
Реактив феллинга