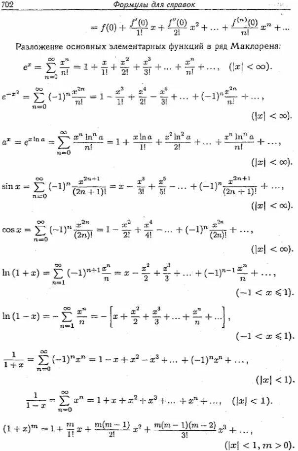
Разложение элементарных функций