Главная
»
Разбор демоверсии егэ информатика
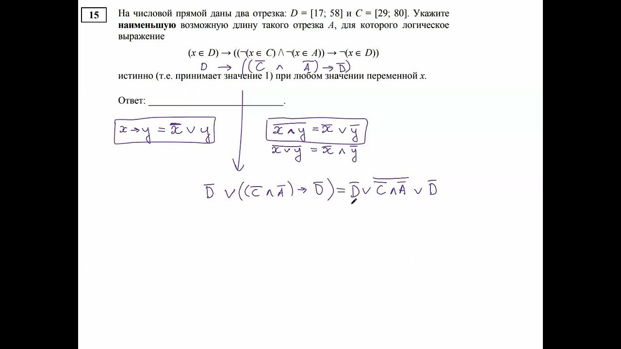
Разбор демоверсии егэ информатика. 15 задание егэ информатика. демо егэ информатика 2025. решение 15 задания егэ информатика. егэ информатика 15 задание разбор.
« Предыдущее
30 / 75
Следующее »