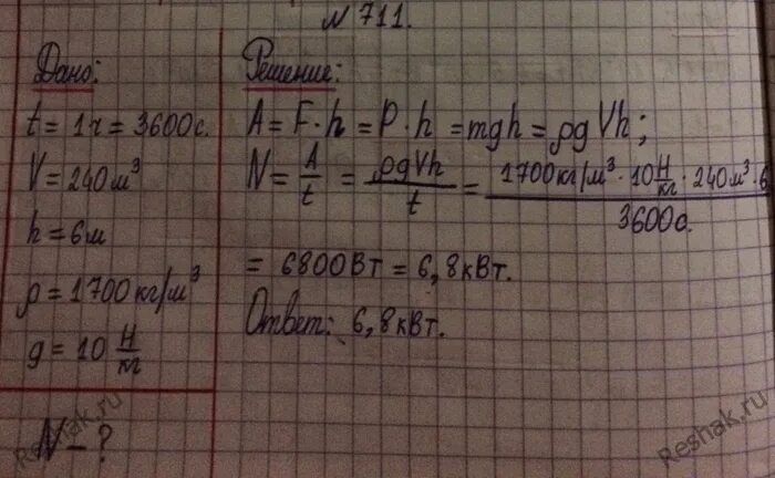
Равномерно движущийся транспортер поднимает 540 тонн