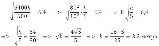
Расстояние от наблюдателя