Главная
»
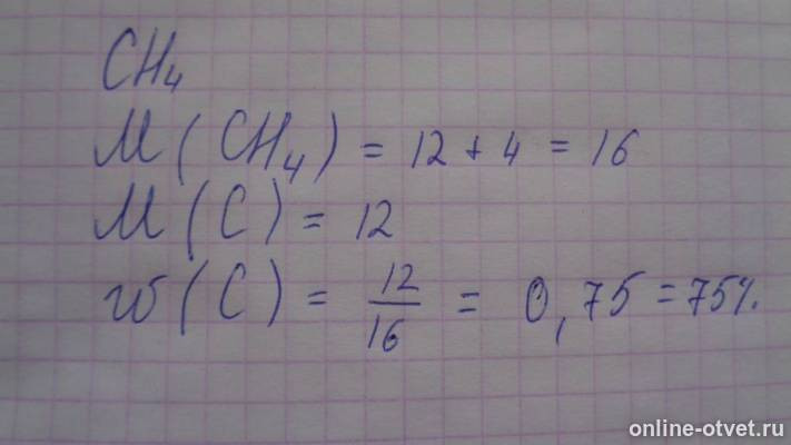
Рассчитайте массовую долю каждого элемента ch4 cuo
Рассчитайте массовую долю каждого элемента ch4 cuo. Вычислить массовую долю углерода в метане. вычислите массовую долю углерода в молекуле метана.
« Предыдущее
10 / 40
Следующее »