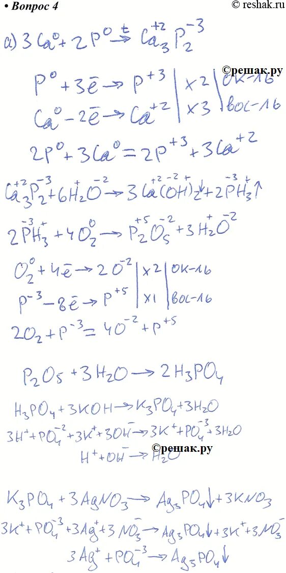
Р2о5 na3po4