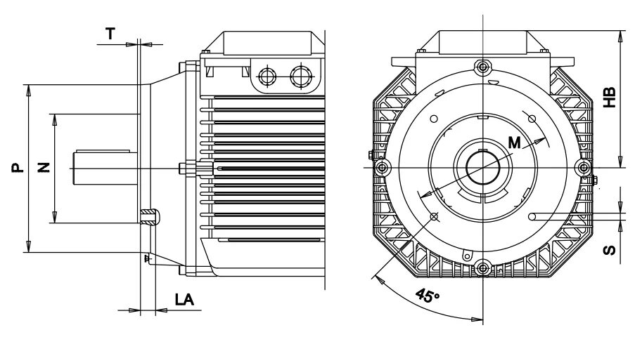
R 132 12b b 4