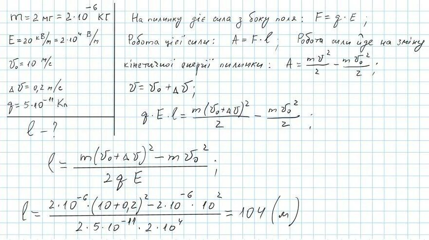
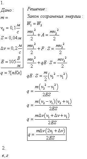
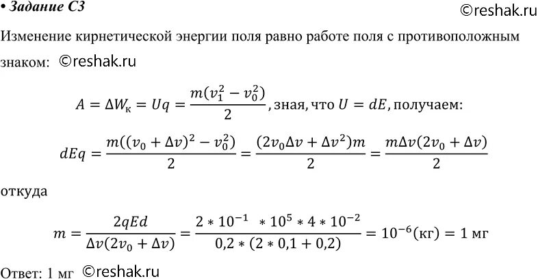
Пылинка имеющая заряд 10 6 кл