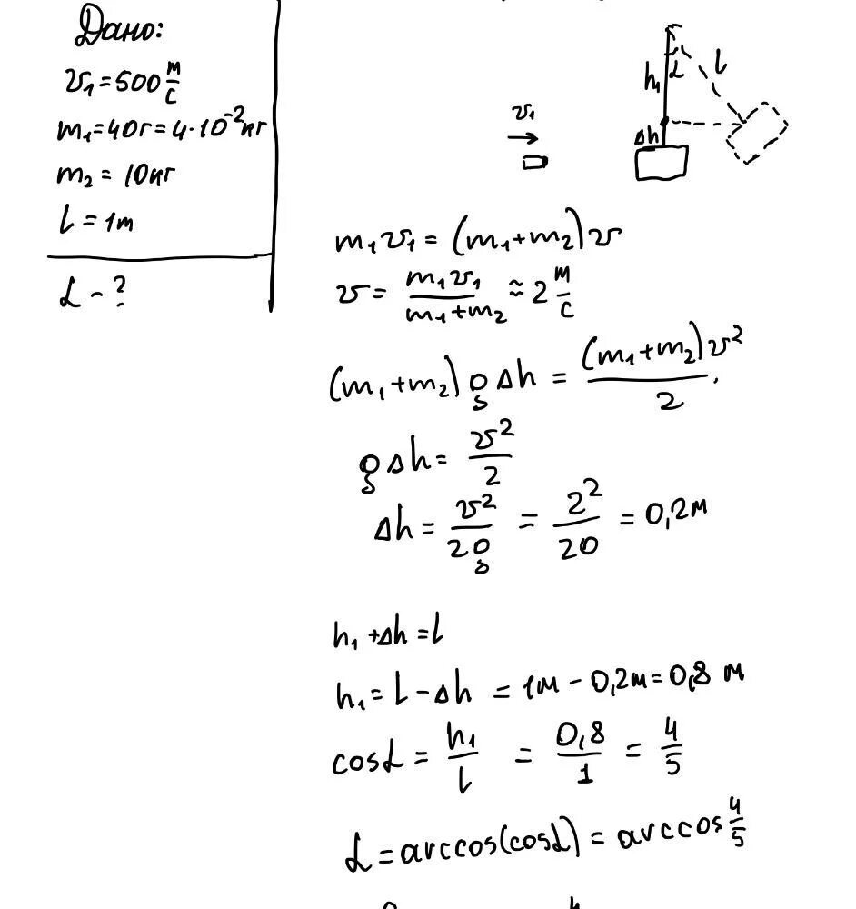
Пуля летит со скоростью 500