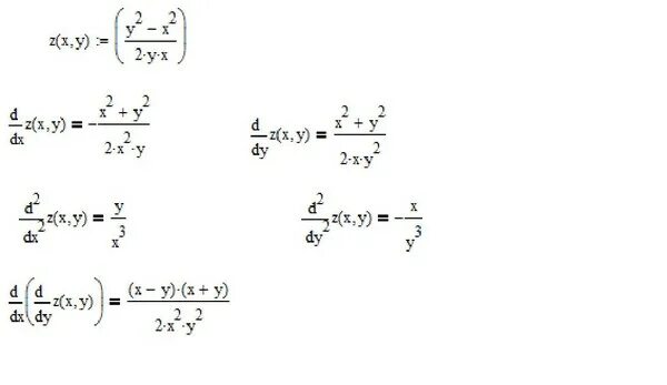
Производную функции y x2