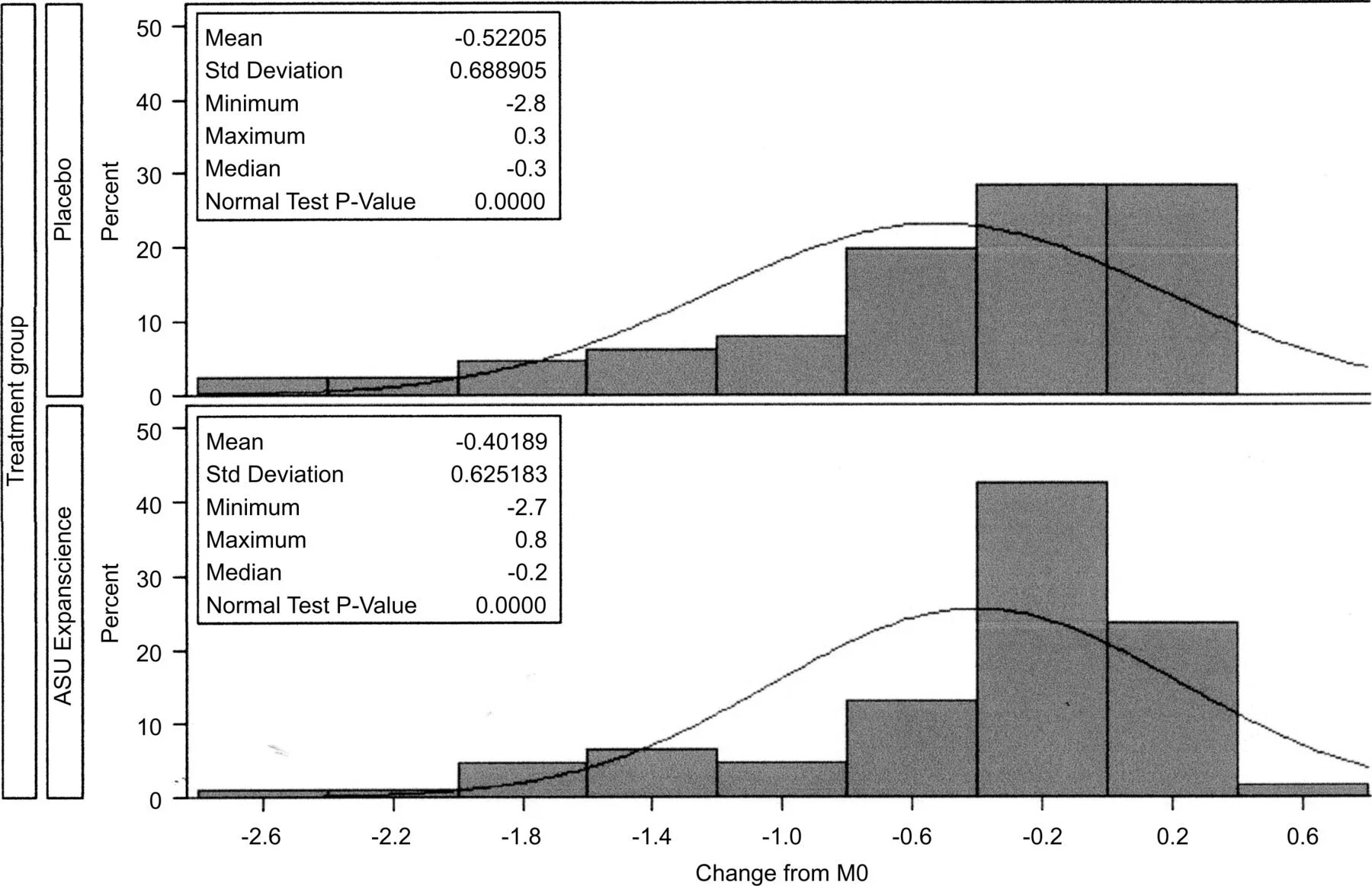
Primary endpoint