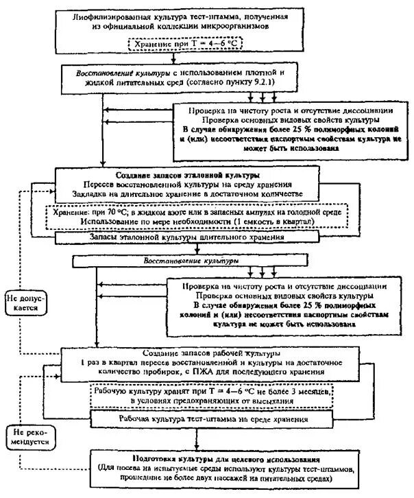
Приказы микробиологии