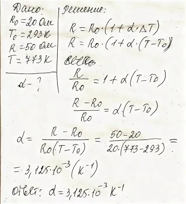
При температуре 220 c