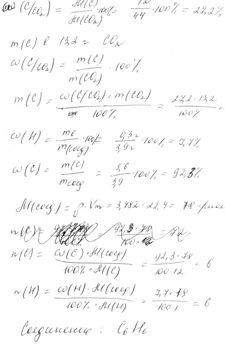
При сгорании 3 г углеводорода