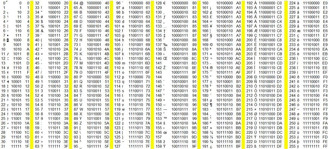
Представьте восьмиразрядном формате прямой код числа 113