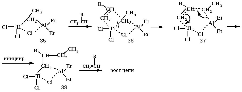
Полимеризация циглера натта