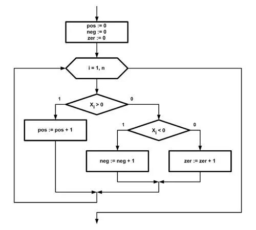
Подсчитать количество положительных чисел