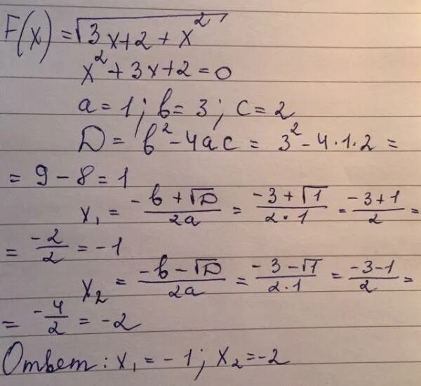
Под корнем 3х 2 2