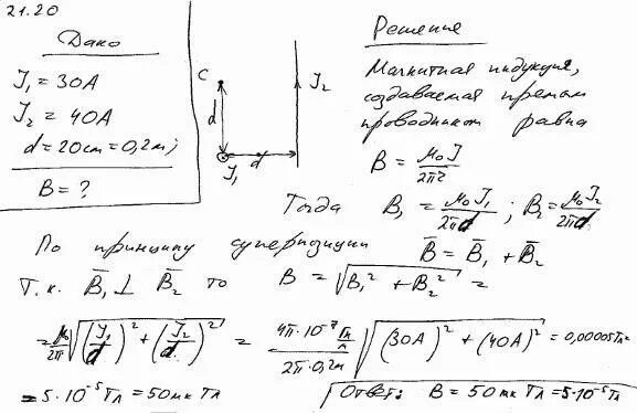
По двум длинным прямым проводником