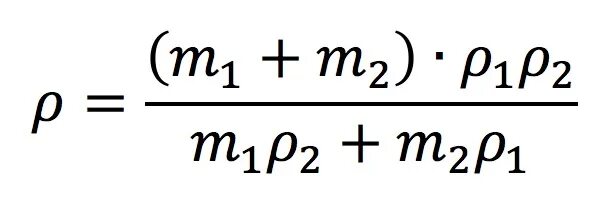
Плотность металла формула