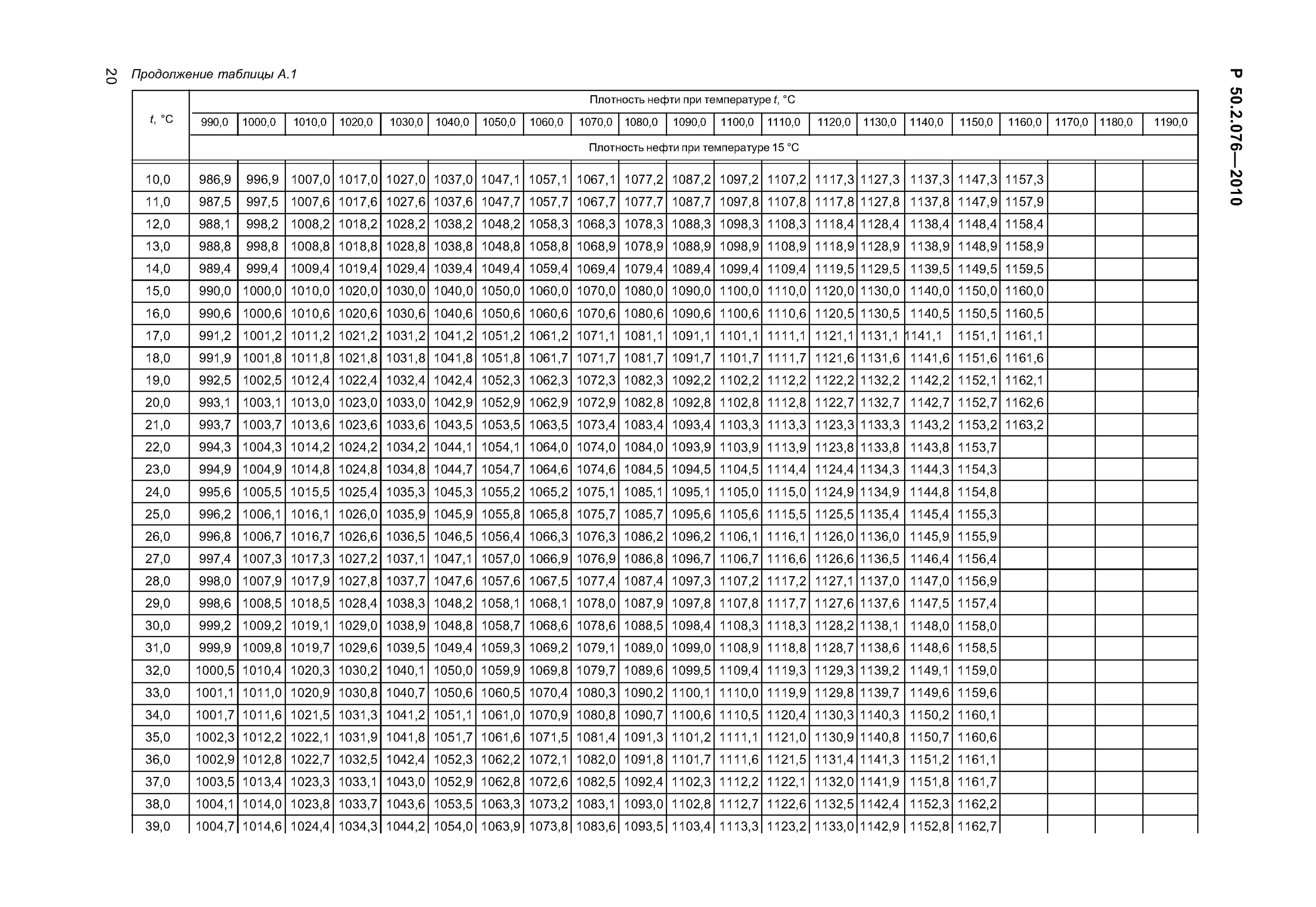
Плотность керосина рт