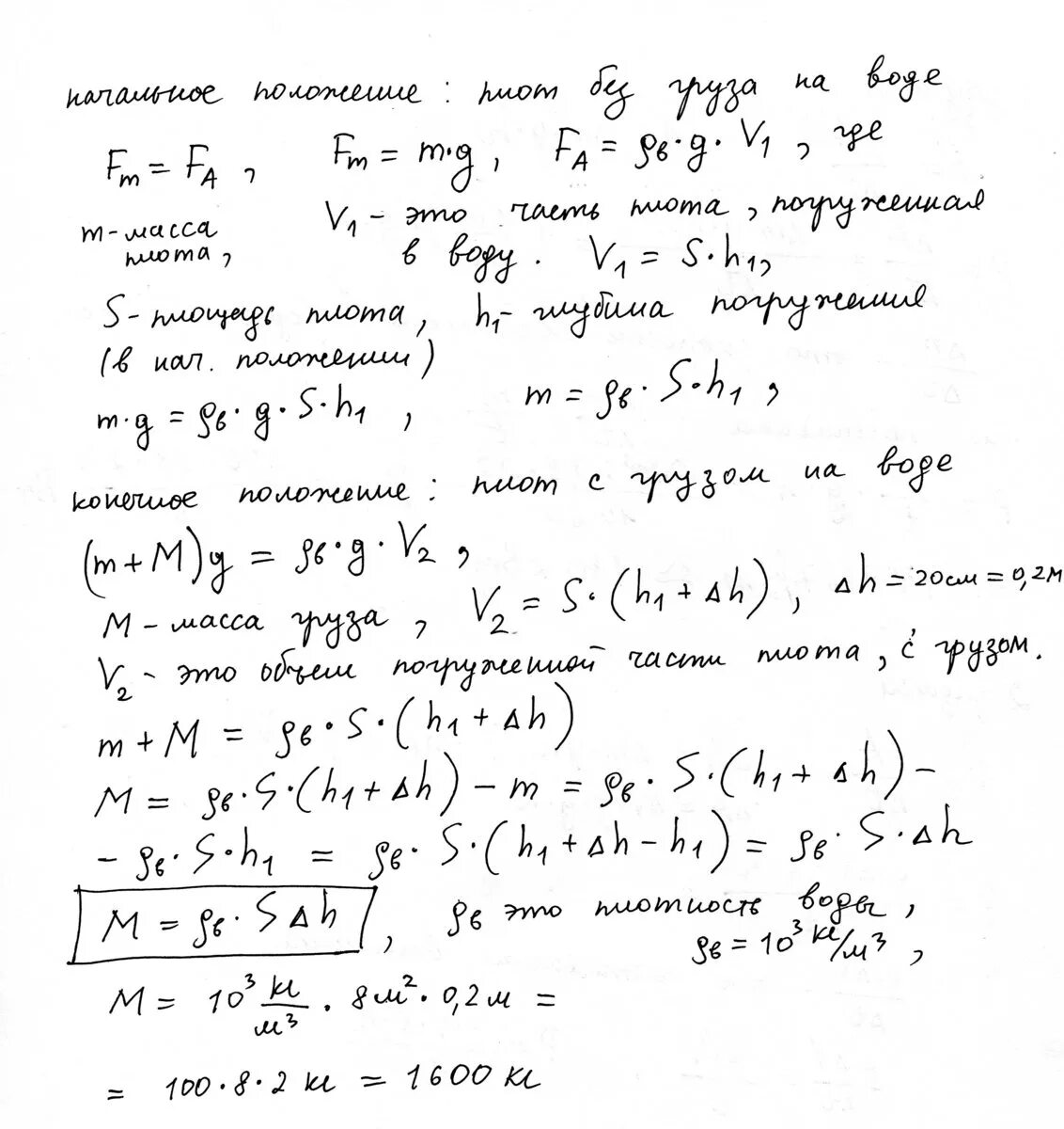
Плот плывущий по реке имеет площадь 8