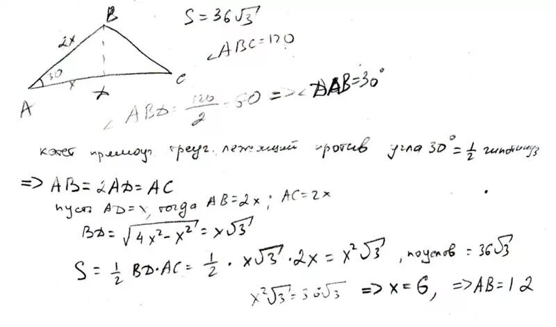
Площадь рав