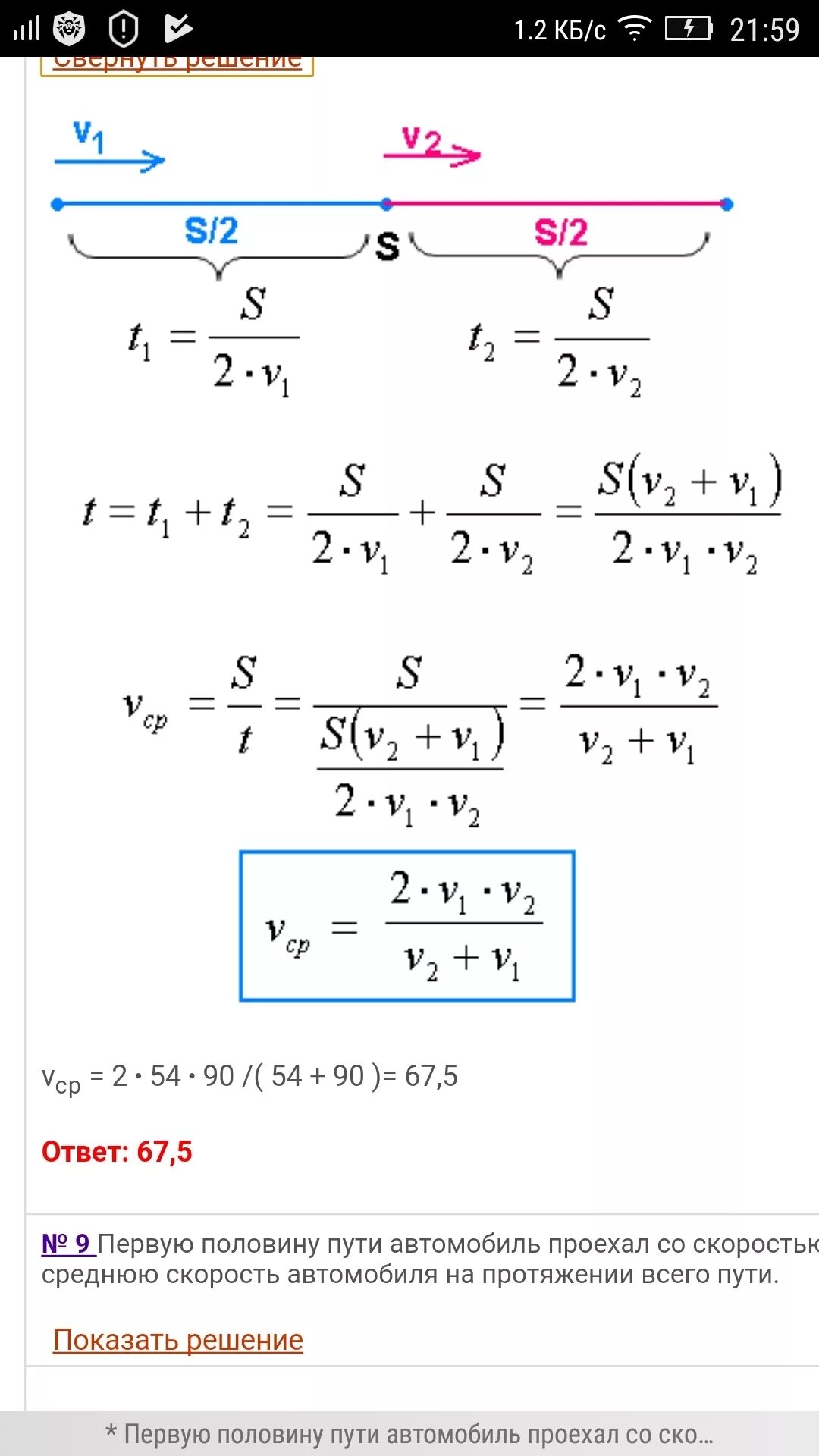
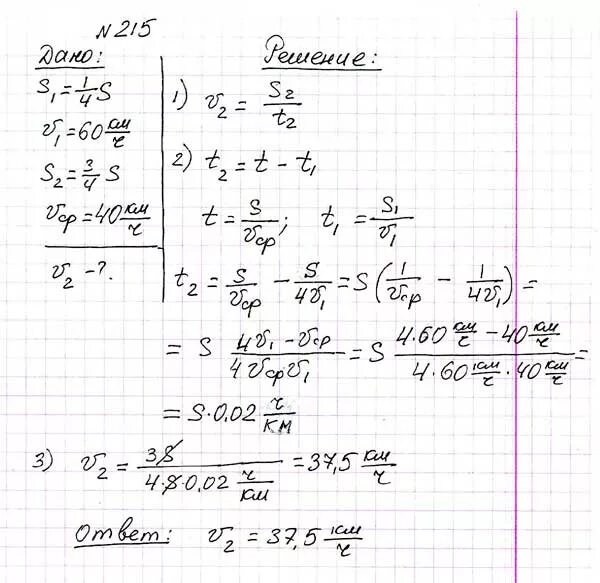
Первую треть времени