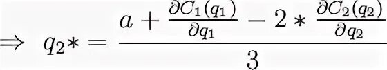
Partial c