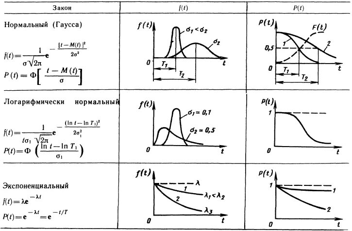
Параметры графиков нагрузки