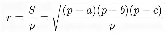
P r s