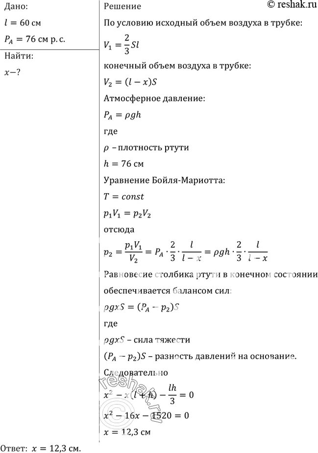
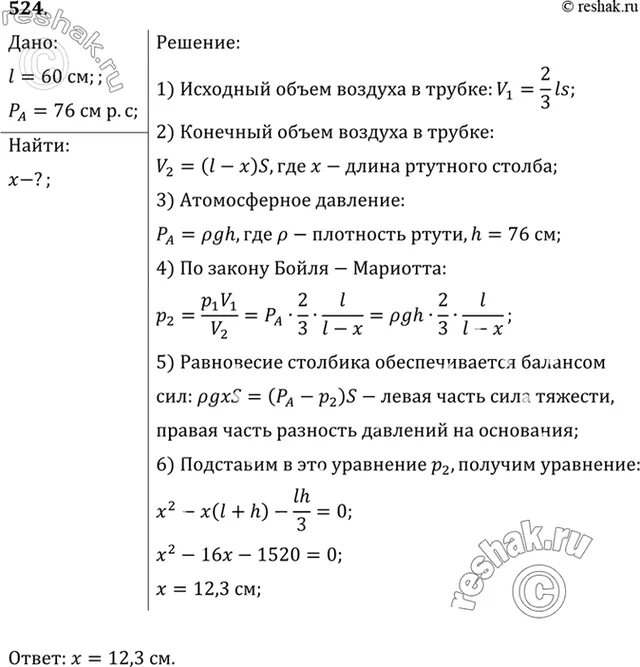
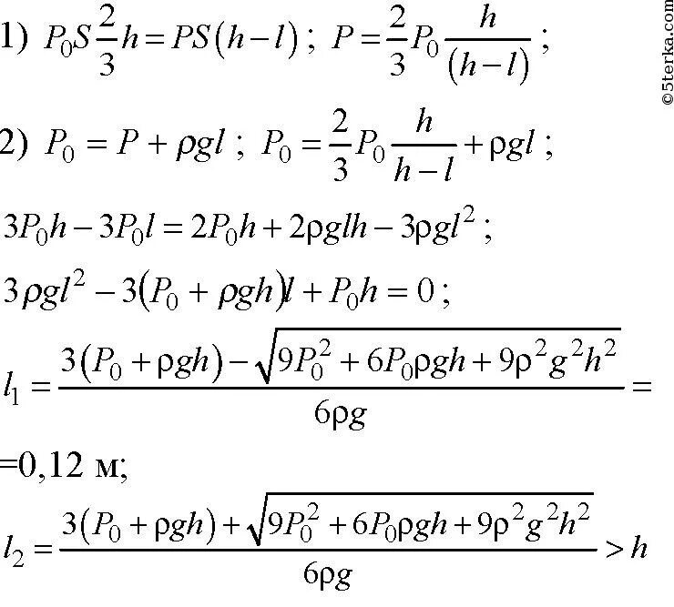
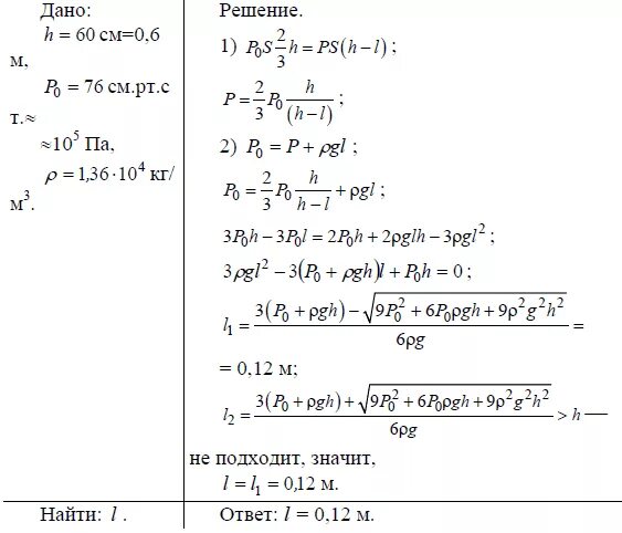
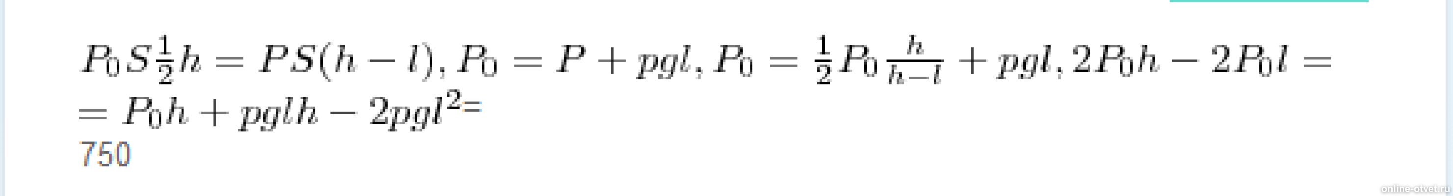
Открытую стеклянную трубку длиной 1 м наполовину