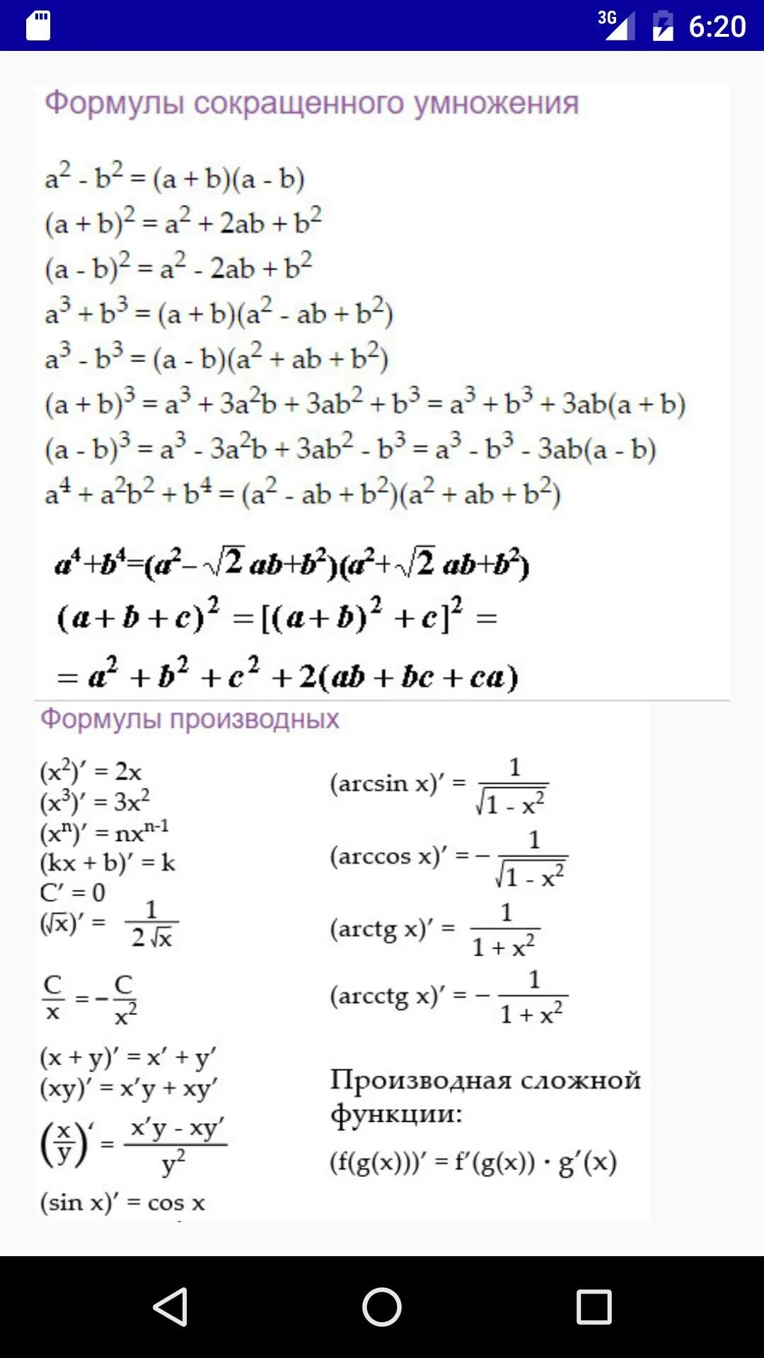
Основные формулы которые