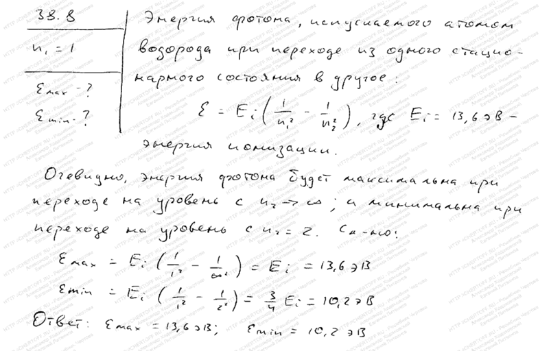
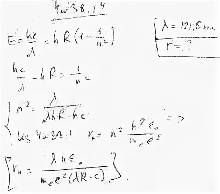
Определите количество квантов испускаемых возбужденным атомом