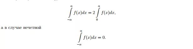
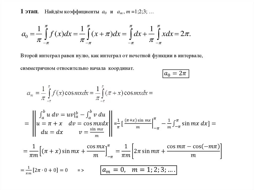
Определенный интеграл нечетной функции