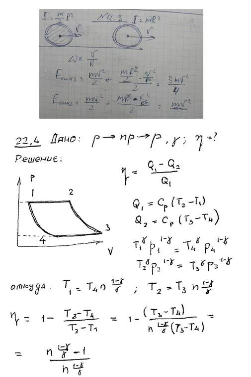
Обруч и диск одинаковой массы