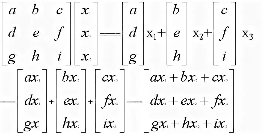
Numpy умножение