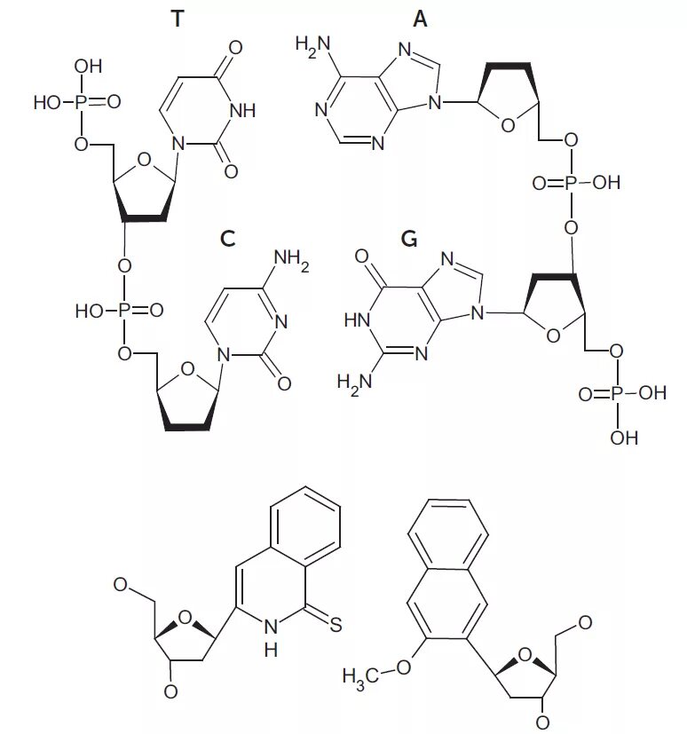
Нуклеотиды днк содержат азотистые