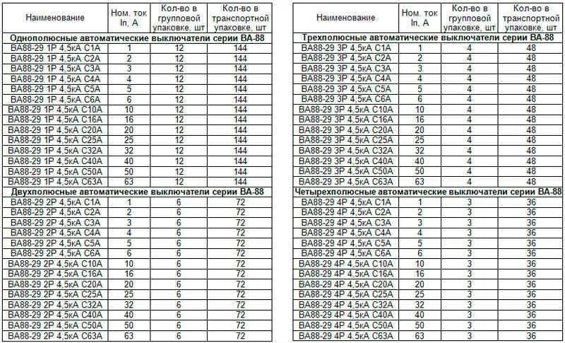
Номинал автоматов 3 фазы