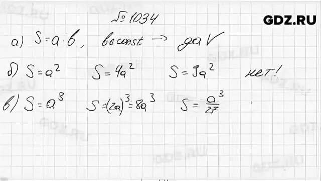
Номер 1029 по математике 6