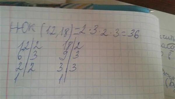
Нок чисел 49 и 14