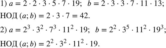
Нод чисел a и b