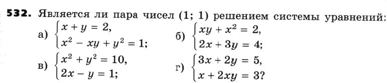
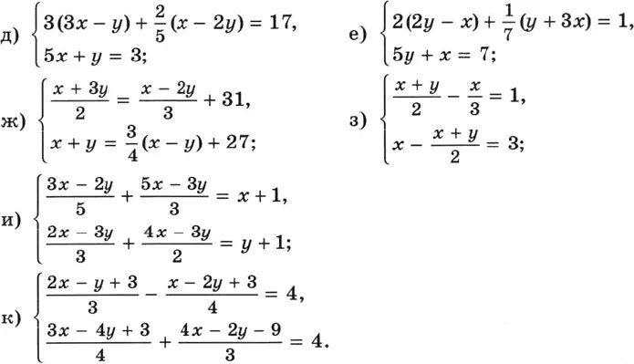
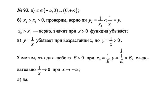
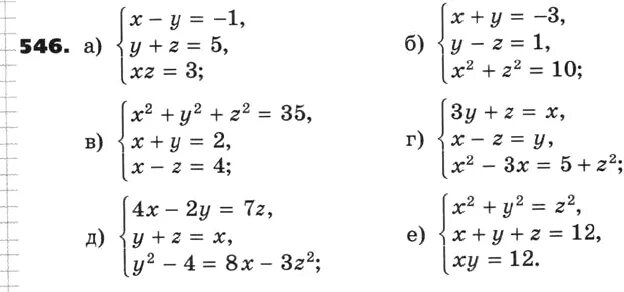
Никольского 8 класс