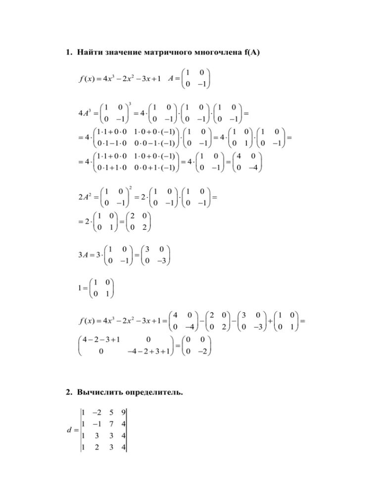
Найти значение матрицы