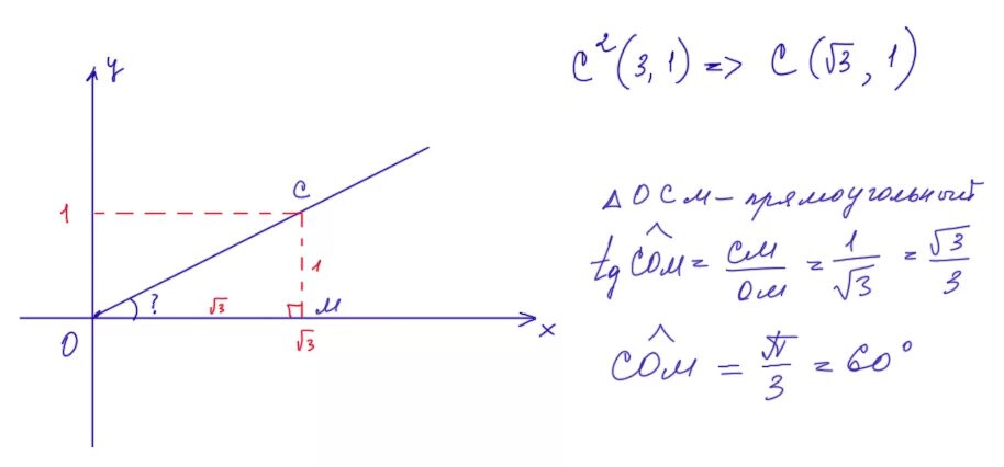
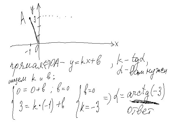
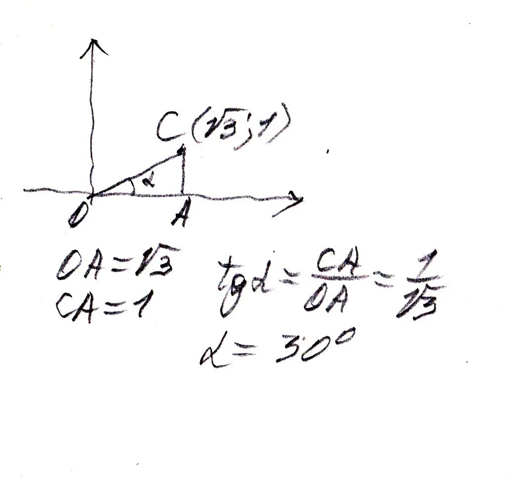
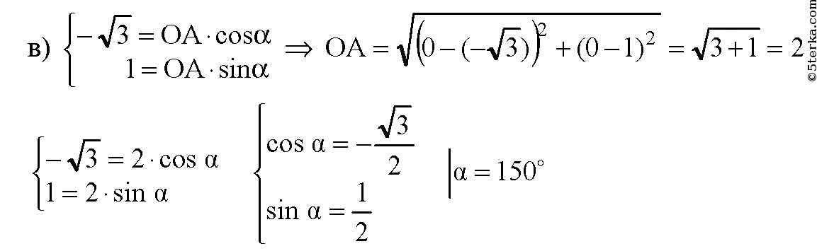
Найти угол между лучом ос